- 15 Sections
- 149 Lessons
- Lifetime
Expand all sectionsCollapse all sections
- 01. Real Numbers9
- 1.1Real Numbers and Fundamental Theorem of Arithmetic59 Minutes
- 1.2Divisibility and Euclid’s Division Lemma49 Minutes
- 1.3Finding HCF and LCM Using Fundamental Theorem of Arithmetic2 Hours
- 1.4Miscellaneous Questions31 Minutes
- 1.5Chapter Notes – Real Numbers
- 1.6NCERT Solutions – Real Numbers Exercise 1.1 – 1.4
- 1.7Revision Notes Real Numbers
- 1.8R S Aggarwal Real Numbers
- 1.9R D Sharma Real Numbers
- 02. Polynomials11
- 2.1Introduction to Polynomials and Its Zeroes44 Minutes
- 2.2Finding Zeroes of Quadratic Polynomial1 Hour
- 2.3Relationship b/w the Zeroes and coefficients of a Polynomial1 Hour
- 2.4Cubic Polynomial35 Minutes
- 2.5Division and Division Algorithm for Polynomials1 Hour
- 2.6Geometrical Meaning of Zeroes of Polynomial15 Minutes
- 2.7Chapter Notes – Polynomials
- 2.8NCERT Solutions – Polynomials Exercise 2.1 – 2.4
- 2.9Revision Notes Polynomials
- 2.10R S Aggarwal Polynomials
- 2.11R D Sharma Polynomials
- 03. Linear Equation9
- 3.1Solution of linear Equation in Two Variable by Graphical and Algebraic Methods1 Hour
- 3.2Some Basic Questions on Solving Pair of Linear Equations1 Hour
- 3.3Some Basics Problems on Numbers and Ages40 Minutes
- 3.4Problems on Money Matters, Time, Distance, Speed, Time and Work1 Hour
- 3.5Chapter Notes – Linear Equation
- 3.6NCERT Solutions – Linear Equation Exercise 3.1 – 3.7
- 3.7Revision Notes Linear Equation
- 3.8R S Aggarwal Linear Equation
- 3.9R D Sharma Linear Equation
- 04. Quadratic Equation8
- 4.1Introduction and Finding The Roots of a Quadratic Equation37 Minutes
- 4.2Miscellaneous Questions 12 Hours
- 4.3Miscellaneous Questions 22 Hours
- 4.4Chapter Notes – Quadratic Equation
- 4.5NCERT Solutions – Quadratic Equation Exercise 4.1 – 4.4
- 4.6Revision Notes Quadratic Equation
- 4.7R S Aggarwal Quadratic Equation
- 4.8R D Sharma Quadratic Equation
- 05. Arithmetic Progressions11
- 5.1Introduction to Arithmetic Progression59 Minutes
- 5.2Miscellaneous Questions Based on nth Term Formula of A.P.55 Minutes
- 5.3Middle term (s) of Finite A.P. and Arithmetic Mean60 Minutes
- 5.4Selection of the Terms and Sum of nth Terms of A.P.1 Hour
- 5.5Miscellaneous Questions Based on Sum of nth Term of A.P.60 Minutes
- 5.6Word Problems related to nth term and sum of nth terms of A.P.1 Hour
- 5.7Chapter Notes – Arithmetic Progressions
- 5.8NCERT Solutions – Arithmetic Progressions Exercise 5.1 – 5.4
- 5.9Revision Notes Arithmetic Progressions
- 5.10R S Aggarwal Arithmetic Progressions
- 5.11R D Sharma Arithmetic Progressions
- 06. Some Applications of Trigonometry7
- 6.1Angle of Elevation and Depression; Problems involving Elevation and Double Elevation1 Hour
- 6.2Miscellaneous Problems Involving Double Elevation, Depression and Elevation1 Hour
- 6.3Miscellaneous Questions (Level-1, 2, 3, 4)49 Minutes
- 6.4Chapter Notes – Some Applications of Trigonometry
- 6.5NCERT Solutions – Some Applications of Trigonometry
- 6.6Revision Notes Some Applications of Trigonometry
- 6.7R D Sharma Some Applications of Trigonometry
- 07. Coordinate Geometry17
- 7.1Introduction to Terms related to Coordinate Geometry49 Minutes
- 7.2Locating Coordinates of Point on the Axes37 Minutes
- 7.3Finding vertices of a Geometrical Fig. and Distance b/w Two Points58 Minutes
- 7.4Distance b/w Two Points Formula Based Examples44 Minutes
- 7.5Finding the type of Triangle and Quadrilateral1 Hour
- 7.6Find the Collinear or Non-collinear points and Missing Vertex of a Geometrical Figure42 Minutes
- 7.7Section Formula and Corollary1 Hour
- 7.8Finding the Section Ratio and Involving Equation of Line53 Minutes
- 7.9Proof Related to Mid-points and Centroid of a Triangle59 Minutes
- 7.10Finding Area of Triangle and Quadrilateral53 Minutes
- 7.11Collinearity34 Minutes
- 7.12Examples Based on If Areas are Given34 Minutes
- 7.13Chapter Notes – Coordinate Geometry
- 7.14NCERT Solutions – Coordinate Geometry Exercise 7.1 – 7.4
- 7.15Revision Notes Coordinate Geometry
- 7.16R S Aggarwal Coordinate Geometry
- 7.17R D Sharma Coordinate Geometry
- 08. Triangles15
- 8.1Introduction, Similarity of Triangles, Properties of Triangles, Thales’s Theorem52 Minutes
- 8.2Questions Based on Thales’s Theorem, Converse Thales’s Theorem1 Hour
- 8.3Questions Based on Converse Thales’s Theorem, Questions Based On Mid-points and its Converse59 Minutes
- 8.4Questions Based on Internal Bisectors of an Angle, Similar Triangles, AAA criterion for Similarity52 Minutes
- 8.5SSS & SAS Criterion of Similarity, Question Based on Criteria for Similarity2 Hours
- 8.6Questions Based on Criteria for Similarity Conti.1 Hour
- 8.7Questions Based On Area of Similar Triangles2 Hours
- 8.8Questions Based On Area of Similar Triangles cont., Pythagoras Theorem Level-11 Hour
- 8.9Pythagoras Theorem Level-1 cont.1 Hour
- 8.10Miscellaneous Questions1 Hour
- 8.11Chapter Notes – Triangles
- 8.12NCERT Solutions – Triangles Exercise 8.1 – 8.6
- 8.13Revision Notes Triangles
- 8.14R S Aggarwal Triangles
- 8.15R D Sharma Triangles
- 09. Circles8
- 10. Areas Related to Circles10
- 10.1Area and Perimeter of Circle, Semicircle and Quarter circle56 Minutes
- 10.2Touching Circles and Example on Bending Wire, Wheel Rotation58 Minutes
- 10.3Sector of A Circle51 Minutes
- 10.4Segment of Circle and Area of Combination of Plane Figures1 Hour
- 10.5Questions Based on Area of Combination of Plane Figures1 Hour
- 10.6Chapter Notes – Areas Related to Circles
- 10.7NCERT Solutions – Areas Related to Circles
- 10.8Revision Notes Areas Related to Circles
- 10.9R S Aggarwal Areas Related to Circles
- 10.10R D Sharma Areas Related to Circles
- 11. Introduction to Trigonometry7
- 11.1Introduction, Trigonometric Ratios, Sums when Sides of Triangle are given, Miscellaneous Questions1 Hour
- 11.2Trigonometric Ratios for Some Specific Angles, Trigonometric Ratio for 30 & 60, Value Table, Word Problems48 Minutes
- 11.3Complimentary angles in Inverse Multiplication, Miscellaneous Problems1 Hour
- 11.4Miscellaneous Questions1 Hour
- 11.5Chapter Notes – Introduction to Trigonometry
- 11.6NCERT Solutions – Introduction to Trigonometry
- 11.7Revision Notes Introduction to Trigonometry
- 12. Surface Areas and Volumes9
- 12.1Introduction, Surface Area of Cube, Cuboid, Cylinder, Hollow cylinder, Cone, Sphere, Type-1 : Surface Area and Volume of A Solid1 Hour
- 12.2Volume Related Questions, Based On Embarkment48 Minutes
- 12.3Based on the Rate of Flowing, Frustum of Cone (A) Surface Area (B) Volume52 Minutes
- 12.4Quantity, Percentage, Very Short Answer Types Questions44 Minutes
- 12.5Chapter Notes – Surface Areas and Volumes
- 12.6NCERT Solutions – Surface Areas and Volumes
- 12.7Revision Notes Surface Areas and Volumes
- 12.8R S Aggarwal Surface Areas and Volumes
- 12.9R D Sharma Surface Areas and Volumes
- 13. Statistics12
- 13.1Introduction and Mean of Ungrouped Data46 Minutes
- 13.2Mean of Grouped Data58 Minutes
- 13.3Median of Ungrouped and grouped Data1 Hour
- 13.4Mode of Ungrouped and Grouped Data49 Minutes
- 13.5Mean, Median and Mode & Cumulative Frequency Curve-Less Than Type53 Minutes
- 13.6Cumulative Frequency Curve (Ogive)-More Than Type52 Minutes
- 13.7Miscellaneous Questions38 Minutes
- 13.8Chapter Notes – Statistics
- 13.9NCERT Solutions – Statistics
- 13.10Revision Notes Statistics
- 13.11R S Aggarwal Statistics
- 13.12R D Sharma Statistics
- 14. Probability9
- 14.1Activities, Understanding term Probability, Experiments54 Minutes
- 14.2Calculations43 Minutes
- 14.3Event, Favorable Outcomes, Probability, Some important experiments- Tossing a coin, Rolling dice, Drawing a card1 Hour
- 14.4Complement of an event, Elementary Events, Equally Likely events, Some problems of Probability58 Minutes
- 14.5Chapter Notes – Probability
- 14.6NCERT Solutions – Probability
- 14.7Revision Notes Probability
- 14.8R S Aggarwal Probability
- 14.9R D Sharma Probability
- 15. Construction7
- 15.1Introduction, Construction to Divide a Line Segment in Certain Ratio, Construction of Similar Triangles44 Minutes
- 15.2Construction of Different Angles, Construction of Angle Bisector41 Minutes
- 15.3Construction of Tangent of Circle at a Given Point35 Minutes
- 15.4Chapter Notes – Construction
- 15.5NCERT Solutions – Construction
- 15.6R S Aggarwal Construction
- 15.7R D Sharma Construction
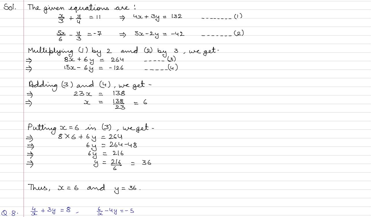
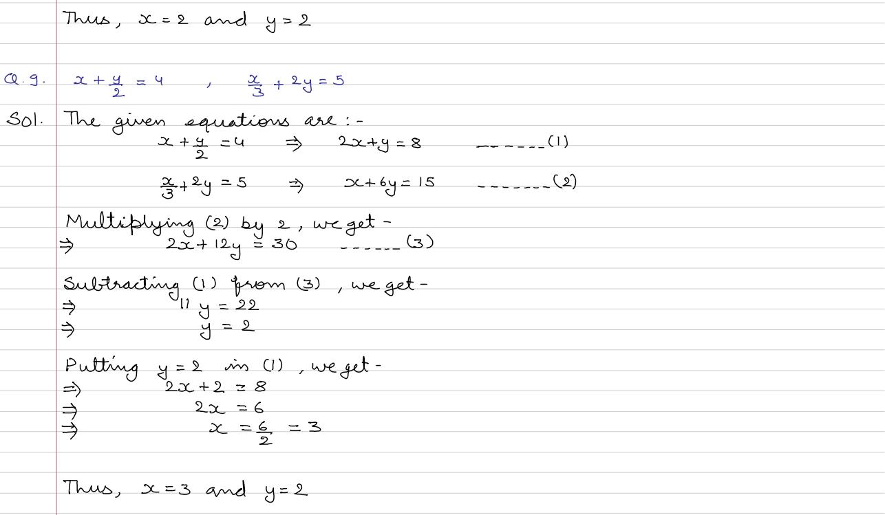
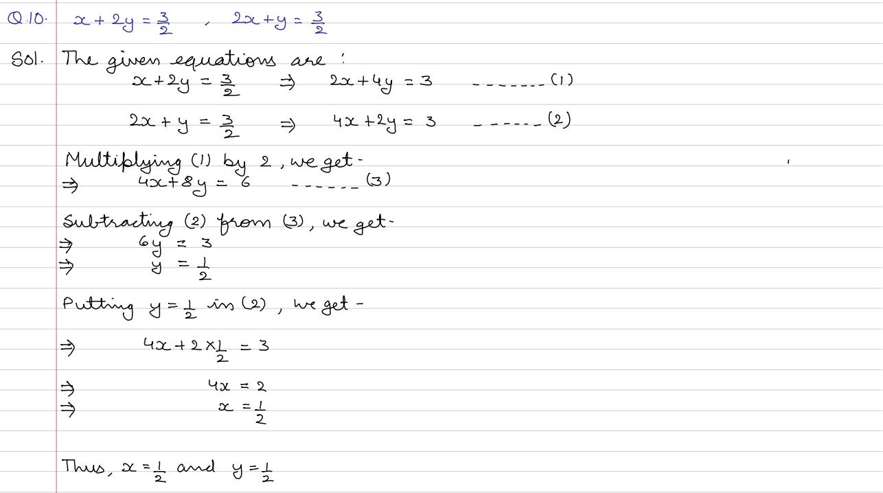
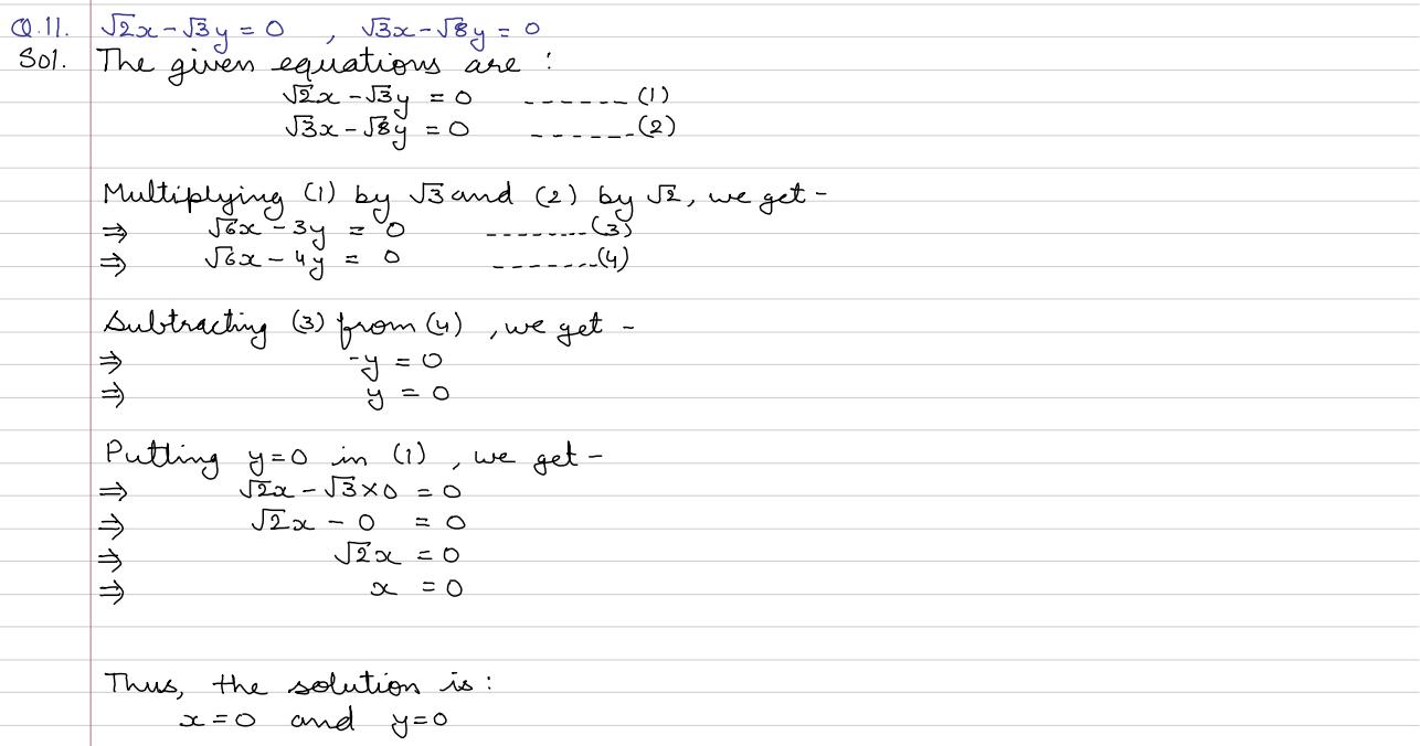
R D Sharma Linear Equation
Pair of Linear Equations in Two Variables : Ex 3.1 (R.D.Sharma)












Pair of Linear Equations in Two Variables : Ex 3.2 Q.1 to Q.19 (R.D.Sharma)







































Pair of Linear Equations in Two Variables : Ex 3.2 Q.20 to Q.37 (R.D.Sharma)






















































Pair of Linear Equations in Two Variables : Ex 3.3 Q.1to Q.32 (R.D.Sharma)





































Pair of Linear Equations in Two Variables : Ex 3.3 Q.33 to Q.47 (R.D.Sharma)




















Pair of Linear Equations in Two Variables : Ex 3.4 Q.1 to Q.28 (R.D.Sharma)





























Pair of Linear Equations in Two Variables : Ex 3.5 (R.D.Sharma)













































Pair of Linear Equations in Two Variables : Ex 3.6 (R.D.Sharma)











Pair of Linear Equations in Two Variables : Ex 3.7 (R.D.Sharma)

















Pair of Linear Equations in Two Variables : Ex 3.8 (R.D.Sharma)









Pair of Linear Equations in Two Variables : Ex 3.9 (R.D.Sharma)















