Chapter Notes – Polynomials
(1) Polynomial : The expression which contains one or more terms with non-zero coefficient is called a polynomial. A polynomial can have any number of terms.
For Example: 10, a + b, 7x + y + 5, w + x + y + z, etc. are some polynomials.
(2) Degree of polynomial : The highest power of the variable in a polynomial is called as the degree of the polynomial.
For Example: The degree of p(x) = x5 – x3 + 7 is 5.
(3) Linear polynomial : A polynomial of degree one is called a linear polynomial.
For Example: 1/(2x – 7), √s + 5, etc. are some linear polynomial.
(4) Quadratic polynomial : A polynomial having highest degree of two is called a quadratic polynomial. The term ‘quadratic’ is derived from word ‘quadrate’ which means square. In general, a quadratic polynomial can be expressed in the form ax2 + bx + c, where a≠0 and a, b, c are constants.
For Example: x2 – 9, a2 + a + 7, etc. are some quadratic polynomials.
(5) Cubic Polynomial : A polynomial having highest degree of three is called a cubic polynomial. In general, a quadratic polynomial can be expressed in the form ax3 + bx2 + cx + d, where a≠0 and a, b, c, d are constants.
For Example: x3 – 9x +2, a3 + a2 + √a + 7, etc. are some cubic polynomial.
(6) Zeroes of a Polynomial : The value of variable for which the polynomial becomes zero is called as the zeroes of the polynomial. In general, if k is a zero of p(x) = ax + b, then p(k) = ak + b = 0, i.e., k = -b/a. Hence, the zero of the linear polynomial ax + b is –b/a = -(Constant term)/(coefficient of x)
For Example: Consider p(x) = x + 2. Find zeroes of this polynomial.
If we put x = -2 in p(x), we get,
p(-2) = -2 + 2 = 0.
Thus, -2 is a zero of the polynomial p(x).
(7) Geometrical Meaning of the Zeroes of a Polynomial:
(i) For Linear Polynomial:
In general, for a linear polynomial ax + b, a ≠ 0, the graph of y = ax + b is a straight line which intersects the x-axis at exactly one point, namely, (-b/a , 0) . Therefore, the linear polynomial ax + b, a ≠ 0, has exactly one zero, namely, the x-coordinate of the point where the graph of y = ax + b intersects the x-axis.
For Example: The graph of y = 2x – 3 is a straight line passing through points (0, -3) and (3/2, 0).
| x | 0 | 3/2 |
| y = 2x – 3 | 6 | 0 |
Here, the graph of y = 2x – 3 is a straight line which intersects the x-axis at exactly one point, namely, (3/2 , 0).
(ii) For Quadratic Polynomial:
In general, for any quadratic polynomial ax2 + bx + c, a ≠ 0, the graph of the corresponding equation y = ax2 + bx + c has one of the two shapes either open upwards like curve or open downwards like curve depending on whether a > 0 or a < 0. (These curves are called parabolas.)
Case 1: The Graph cuts x-axis at two distinct points.
The x-coordinates of the quadratic polynomial ax2 + bx + c have two zeros in this case.
Case 2: The Graph cuts x-axis at exactly one point.
The x-coordinates of the quadratic polynomial ax2 + bx + c have only one zero in this case.
Case 3: The Graph is completely above x-axis or below x-axis.
The quadratic polynomial ax2 + bx + c have no zero in this case.
For Example: For the given graph, find the number of zeroes of p(x).
From the figure, we can see that the graph intersects the x-axis at four points.
Therefore, the number of zeroes is 4.
(8) Relationship between Zeroes and Coefficients of a Polynomial:
(i) Quadratic Polynomial:
In general, if α and β are the zeroes of the quadratic polynomial p(x) = ax2 + bx + c, a ≠ 0, then we know that (x – α) and (x – β) are the factors of p(x).
Moreover, α + β = -b/a and α β = c/a.
In general, sum of zeros = -(Coefficient of x)/(Coefficient of x2).
Product of zeros = (Constant term)/ (Coefficient of x2).
For Example: Find the zeroes of the quadratic polynomial x2 + 7x + 10, and verify the relationship between the zeroes and the coefficients.
On finding the factors of x2 + 7x + 10, we get, x2+ 7x + 10 = (x + 2) (x + 5)
Thus, value of x2 + 7x + 10 is zero for (x+2) = 0 or (x +5)= 0. Or in other words, for x = -2 or x = -5.
Hence, zeros of x2 + 7x + 10 are -2 and -5.
Now, sum of zeros = -2 + (-5) = -7 = -7/1 = -(Coefficient of x)/(Coefficient of x2). Similarly, product of zeros = (-2) x (-5) = 10 = 10/1 = (Constant term)/ (Coefficient of x2).
For Example: Find the zeroes of the quadratic polynomial t2 -15, and verify the relationship between the zeroes and the coefficients.
On finding the factors of t2 -15, we get, t2 -15= (t + √15) (t – √15)
Thus, value of t2 -15 is zero for (t +√15) = 0 or (t – √15) = 0. Or in other words, for t = √15 or t = -√15.
Hence, zeros of t2 -15 are √15 and -√15.
Now, sum of zeros = √15 + (-√15) = 0 = -0/1 = -(Coefficient of t)/(Coefficient of t2). Similarly, product of zeros = (√15) x (-√15) = -15 = -15/1 = (Constant term)/ (Coefficient of t2).
For Example: Find a quadratic polynomial for the given numbers as the sum and product of its zeroes respectively 4, 1.
Let the quadratic polynomial be ax2 + bx + c.
Given, α + β = 4 = 4/1 = -b/a.
α β = 1 = 1/1 = c/a.
Thus, a = 1, b = -4 and c = 1.
Therefore, the quadratic polynomial is x2 – 4x + 1.
(ii) Cubic Polynomial: In general, it can be proved that if α, β, γ are the zeroes of the cubic polynomial ax3 + bx2 + cx + d, then,
α + β + γ = –b/a ,
αβ + βγ + γα = c/a and α β γ = – d/a .
(9) Division Algorithm for Polynomials : If p(x) and g(x) are any two polynomials with g(x) ≠ 0, then we can find polynomials q(x) and r(x) such that p(x) = g(x) × q(x) + r(x), where r(x) = 0 or degree of r(x) < degree of g(x).
For Example: Divide 3x2 – x3 – 3x + 5 by x – 1 – x2, and verify the division algorithm.
On dividing 3x2 – x3 – 3x + 5 by x – 1 – x2, we get,
Here, quotient is (x – 2) and remainder is 3.
Now, as per the division algorithm, Divisor x Quotient + Remainder = Dividend
LHS = (-x2 + x + 1)(x – 2) + 3
= (–x3 + x2 – x + 2x2 – 2x + 2 + 3)
= (–x3 + 3x2 – 3x + 5)
RHS = (–x3 + 3x2 – 3x + 5)
Thus, division algorithm is verified.
For Example: On dividing x3 – 3x2 + x + 2 by a polynomial g(x), the quotient and remainder were (x – 2) and (–2x + 4), respectively. Find g(x).
Given, dividend = p(x) = (x3 – 3x2 + x + 2), quotient = (x -2), remainder = (-2x + 4).
Let divisor be denoted by g(x).
Now, as per the division algorithm,
Divisor x Quotient + Remainder = Dividend
(x3 – 3x2 + x + 2) = g(x) (x – 2) + (-2x + 4)
(x3 – 3x2 + x + 2 + 2x -4) = g(x) (x – 2)
(x3 – 3x2 + 3x – 2) = g(x) (x – 2)
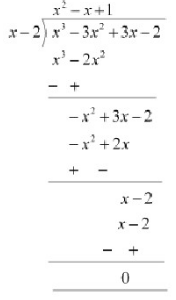
Hence, g(x) is the quotient when we divide (x3 – 3x2 + 3x – 2) by (x – 2).
Therefore, g(x) = (x2 – x + 1).
