Chapter Notes – Statistics
(1) Data : It is a collection of facts such as numbers, words, measurements, alphabets, symbols, observations or even just description of things.
For Example: Data include marks of students, present-absent report of students, name of students, runs made by batsman, etc.
(2) Data Organization : The data available in an unorganized form is called as raw data. The extraction of the information from these raw data to give meaning to these data is known as data organization.
(3) Frequency of data : The number of times a particular quantity repeats itself in the given data is known as its frequency.
For Example: Table below represents number of cars possessed by different families in a society.
| Number of cars | No of families |
| 0 | 4 |
| 1 | 8 |
| 2 | 2 |
Here, the frequency of families who have one car is 8.
(4) Frequency Distribution Table : The table which represents the number of times a particular quantity is repeated is known as the frequency distribution table.
For Example: Table below represents number of cars possessed by different families in a society.
| Number of cars | Frequency |
| 0 | 4 |
| 1 | 8 |
| 2 | 2 |
| 3 | 3 |
| 4 | 2 |
| 5 | 1 |
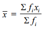
(5) Mean of Grouped Data : the mean value of a variable is defined as the sum of all the values of the variable divided by the number of values. Suppose, if x1 , x2 ,. . ., xn are observations with respective frequencies f1 , f2 , . . ., fn , then this means observation x1 occurs f1 times, x2 occurs f2 times, and so on. Now, the sum of the values of all the observations = f1x1 + f2x2 + . . . + fnxn , and the number of observations = f1 + f2 + . . . + fn.
Hence, the mean of the data is given by
or 
(6) Data Grouping : When the amount of data is huge, then the frequency distribution table for individual observation will result into a large table. In such case, we form group of data and then prepare a table. This type of table is called as grouped frequency distribution.
For Example: Suppose, we need to prepare a table for Science marks obtained by 60 students in a class. Then preparing table for individual marks will result into a big table, so we will group the data as shown in the table below:
| Range of Marks | No of students |
| 0 – 10 | 2 |
| 10-20 | 9 |
| 20-30 | 22 |
| 30-40 | 20 |
| 40-50 | 6 |
| 50-60 | 1 |
| Total | 60 |
(i) Class Interval or Class: It represents the range in which the data are grouped. For the above example, groups 0-10, 10-20, 20-30, etc. represents class interval.
(ii) Lower class limit: The lowest number occurring in a particular class interval is known as its lower class limit. For the above example, if we consider the class interval 10-20 then 10 is called the lower class limit of that interval.
(iii) Upper class limit: The highest number occurring in a particular class interval is known as its upper class limit. For the above example, if we consider the class interval 10-20 then 20 is called the upper class limit of that interval.
(iv) Width or size of class interval: The difference between the upper class limit and the lower class limit is called as the width or size of class interval. For the above example, if we consider the class interval 10-20, then width or size of this class interval will be 10.
(v) Class mark: The frequency of each class interval is centred around its mid-point. Class mark = (Upper class limit + lower class limit)/2. For the above example, if we consider the class interval 10-20, then class mark will be 15.
(7) Methods to find mean:
(i) Direct Method:
For Example: A survey was conducted by a group of students as a part of their environment awareness programme, in which they collected the following data regarding the number of plants in 20 houses in a locality. Find the mean number of plants per house.
| No of plants | 0 – 2 | 2 – 4 | 4 – 6 | 6 – 8 | 8 – 10 | 10- 12 | 12 – 14 |
| No of houses | 1 | 2 | 1 | 5 | 6 | 2 | 3 |
We know that, Class mark (xi) = (Upper class limit + lower class limit)/2.
| No of plants | No of houses | xi | fixi |
| 0 – 2 | 1 | 1 | 1 |
| 2 – 4 | 2 | 3 | 6 |
| 4 – 6 | 1 | 5 | 5 |
| 6 – 8 | 5 | 7 | 35 |
| 8 – 10 | 6 | 9 | 54 |
| 10 – 12 | 2 | 11 | 22 |
| 12 – 14 | 3 | 13 | 39 |
| Total | 20 | 162 |
= 20
= 162
= 162/20 = 8.1
Therefore, mean number of plants per house is 8.1
(ii) Assumed Mean Method:
For Example: The following distribution shows the daily pocket allowance of children of a locality. The mean pocket allowance is Rs 18. Find the missing frequency f.
| Daily pocket allowance
(in Rs) |
11 – 13 | 13 – 15 | 15 – 17 | 17 – 19 | 19 – 21 | 21- 23 | 23 – 25 |
| No of children | 7 | 6 | 9 | 13 | f | 5 | 4 |
We know that, Class mark (xi) = (Upper class limit + lower class limit)/2.
Given, mean pocket allowance, = 18 Rs.
| Daily pocket allowance
(in Rs) |
No of children
fi |
Class mark
xi |
di = xi – 18 | fidi |
| 11 – 13 | 7 | 12 | -6 | -42 |
| 13 – 15 | 6 | 14 | -4 | -24 |
| 15 – 17 | 9 | 16 | -2 | -18 |
| 17 – 19 | 13 | 18 | 0 | 0 |
| 19 – 21 | f | 20 | 2 | 2f |
| 21 – 23 | 5 | 22 | 4 | 20 |
| 23 – 25 | 4 | 24 | 6 | 24 |
| Total | 2f – 40 |
From the table, we get,
= 44 + f
= 2f – 40
= a +
/
18 = 18 + (2f – 40)/(44 + f)
0 = (2f – 40)/(44 + f)
2f – 40 = 0
f = 20.
Therefore, the missing frequency is 20.
(iii) Step-deviation method:
For Example: Consider the following distribution of daily wages of 50 workers of a factory. Find the mean daily wages of the workers of the factory.
| Daily wages (in Rs) | 100 – 120 | 120 – 140 | 140 – 160 | 160 – 180 | 180 – 200 |
| No of workers | 12 | 14 | 8 | 6 | 10 |
We know that, Class mark (xi) = (Upper class limit + lower class limit)/2.
Here, Class size(h) = 20.
Taking 150 as assured mean(a), di, ui and fiui can be calculated as follows:
| Daily wages
(in Rs) |
No of workers
fi |
xi | di = xi – 150 | ui = di/20 | fiui |
| 100 – 120 | 12 | 110 | -40 | -2 | -24 |
| 120 – 140 | 14 | 130 | -20 | -1 | -14 |
| 140 – 160 | 8 | 150 | 0 | 0 | 0 |
| 160 – 180 | 6 | 170 | 20 | 1 | 6 |
| 180 – 200 | 10 | 190 | 40 | 2 | 20 |
| Total | -12 |
From the table, we get,
= 50
= – 12
Mean = a +
/
= 150 + (-12/50) 20
= 150 – 24/5
= 145.2
Therefore, the mean daily wage of the workers of the factory is 145.20 Rs.
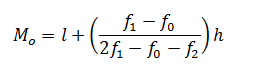
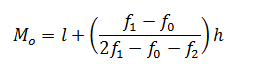
(8) Mode of Grouped Data:
Modal class: The class interval having highest frequency is called the modal class and Mode is obtained using the modal class.
Where
l = lower limit of the modal class,
h = size of the class interval (assuming all class sizes to be equal),
f1 = frequency of the modal class,
f0 = frequency of the class preceding the modal class,
f2 = frequency of the class succeeding the modal class.
For Example: The following data gives the information on the observed lifetimes (in hours) of 225 electrical components. Determine the modal lifetimes of the components.
| Lifetimes (in hours) | 0 – 20 | 20 – 40 | 40 – 60 | 60 – 80 | 80 – 100 | 100 – 120 |
| Frequency | 10 | 35 | 52 | 61 | 38 | 29 |
For the given data, it can be observed that the maximum class frequency is 61 which belong to class interval 60 – 80.
Therefore, modal class = 60 – 80.
Lower class limit (l) of modal class = 60
Frequency (f1) of modal class = 61
Frequency (f0) of class preceding the modal class = 52
Frequency (f2) of class succeeding the modal class = 38
Class size (h) = 20
= 60 + ((61 – 52)/(2 x 61 – 52 – 38) (20)
= 60 + (9/(122 – 90)) (20)
= 60 + 90/16
=65.625
Therefore, modal lifetime of electrical components is 65.625 hours.
(9) Median of Grouped Data: For the given data, we need to have class interval, frequency distribution and cumulative frequency distribution. Then, median is calculated as
Where
l = lower limit of median class,
n = number of observations,
cf = cumulative frequency of class preceding the median class,
f = frequency of median class,
h = class size (assuming class size to be equal)
For Example: The following frequency distribution gives the monthly consumption of electricity of 68 consumers of a locality. Find the median of the data.
| Monthly consumption
(in units) |
No of consumers |
| 65 – 85 | 4 |
| 85 – 105 | 5 |
| 105 – 125 | 13 |
| 125 – 145 | 20 |
| 145 – 165 | 14 |
| 165 – 185 | 8 |
| 185 – 205 | 4 |
To find the median of the given data, cumulative frequency is calculated as follows:
| Monthly consumption
(in units) |
No of consumers | Cumulative frequency |
| 65 – 85 | 4 | 4 |
| 85 – 105 | 5 | 4 + 5 = 9 |
| 105 – 125 | 13 | 9 + 13 = 22 |
| 125 – 145 | 20 | 22 + 20 = 42 |
| 145 – 165 | 14 | 42 + 14 = 56 |
| 165 – 185 | 8 | 56 + 8 = 64 |
| 185 – 205 | 4 | 64 + 4 = 68 |
From the table, we get n = 68.
The cumulative frequency (cf) is just greater than n/2 (i.e. 68/2 = 34) is 42, belonging to interval 125 – 145.
Therefore, median class = 125 – 145
Lower limit (l) of median class = 125
Class size (h) = 20
Frequency (f) of median class = 20
Cumulative frequency (cf) of class preceding median class = 22.
= 125 + ((34 – 22)/20) (20)
= 125 + 12 = 137.
Therefore, median of the given data is 137.
(10) Graphical Representation of Cumulative Frequency Distribution:
For Example: The following distribution gives the daily income of 50 workers of a factory. Convert the distribution above to a less than type cumulative frequency distribution, and draw its ogive.
| Daily income
(in Rs) |
No of workers |
| 100 – 120 | 12 |
| 120 – 140 | 14 |
| 140 – 160 | 8 |
| 160 – 180 | 6 |
| 180 – 200 | 10 |
The less than type cumulative frequency distribution is given as follows:
| Daily income
(in Rs) |
No of workers | Cumulative frequency |
| 100 – 120 | 12 | 12 |
| 120 – 140 | 14 | 12 + 14 = 26 |
| 140 – 160 | 8 | 26 + 8 = 34 |
| 160 – 180 | 6 | 34 + 6 = 40 |
| 180 – 200 | 10 | 40 + 10 = 50 |
Now, we will draw the ogive curve by plotting points (120, 12), (140, 26), (160, 34), (180, 40), (200, 50).
