Chapter Notes – Basic Maths (1) : Vectors
What is a Function?
A key idea in mathematical analysis and in Physics is the idea of dependence. One quantity depends on another if the variation of one of them is accompanied by a variation of other. Mathematicians speak of the independent variable and the dependent variable. In Physics, it is better to think in terms of cause and effect or interdependent quantities.
The dependence of one quantity on another can be quantitatively expressed in three different ways:
(i) Tabular presentation
(ii) Graphical presentation
(iii) Mathematical equations
Let us consider the distance covered by an automobile, moving at constant speed, as a function of time. Data for a particular example of such motion may be presented numerically, as in the following Table. The exact mathematical relationship between the time and the distance in this example is not immediately obvious while examining the table. This is one of the disadvantages of tabular presentation. Although the numerical values can be precisely specified, they do not at once convey the clear picture of how the variables are related. A graph does this job much better.
Table: Time and Distance for a moving Automobile
| Elapsed Time(min) | Distance (km) |
| 0 | 0 |
| 2 | 1.5 |
| 4 | 3.0 |
| 6 | 4.5 |
| 8 | 6.0 |
| 10 | 7.5 |

Let us plot the same data on a graph as shown in the figure. The independent variable – time is plotted horizontally; and the dependent variable – distance is plotted vertically. Each pair of numbers in the table gives a single point on the graph. It is immediately obvious that the points may be joined by a single straight line.
The equation that fits the above tabular and graphical data is s=0.75t.
Where s represents the distance in kilometre and t represents the time in minutes.
This equation, lacking dimensional consistency, is better replaced by s = vot.
where vo is a constant whose value in this example is vo = 0.75 km/min
The equation provides the most concise expression of a functional relationship.
Slope of a Line
The slope of a line in a graph is defined as the tangent of the angle (measured in anticlockwise direction) that the line makes with the positive direction of the horizontal axis. This angle is designated by q in figure. That is
tan q = s/t = vo is the slope of the line given in the above figure.
Note that the quantity tanq is a dimensional quantity in this case, length divide by time. We always measure slopes as a vertical increment divided by a horizontal increment on a graph, each increment being measured in the appropriate unit for the quantity in question. With this understanding, the slope of a line is independent of the scales choosen to prepare the graph.
Derivative of a Function
Slope has a simple physical meaning. It is the rate of change of the quantity being plotted vertically with respect to the quantity being plotted horizontally. Mathematically, slope is derivative of the function.
If s = vot, the derivative of s with respect to t is dsdt=vo
Mathematical Definition
Let y be a function of x. If to a small increment Dx of x there corresponds a small increment Dy of y. Then limΔx→0ΔyΔx is called the derivative of y with respect of x and is written as dydx or ddx[f(x)] or f′(x)
If y=f(x).
then, y+Δy=f(x+Δx)
Δy=f(x+Δx)−f(x)
thus, f′(x)=limΔx→0f(x+Δx)−f(x)Δx
The derivative of f(x) at x = a is denoted by f ‘(a).
Geometrical Interpretation of Derivative
Let us consider the graph of y = f(x) as shown in figure. Let P and Q be the two points on it. Then
PR=LM=Δx
QR=Δy
tanα=ΔyΔx=f(x+Δx)−f(x)Δx
is the slope of PQ as Q→P along the curve Δx→0, α→θ and PQ becomes tangents TPT’ at P.
tanθ=limα→θtanα=limΔx→0f(x+Δx)−f(x)Δx
= dydx at P.
tanθ is the slope of tangent at P.
Rules of Differentiation
The process of finding the derivative of a function is called differentiating the function. Differentiation obeys several simple rules that are worth committing to memory.
(i) The derivative of a constant times a function is the constant times the derivative of the function.
ddx[af(x)]=adfdx
Application 1
Find the derivative of y = 3x2
Solution:
dydx=3ddx(x2)=3(2x)=6x
(ii) The derivative of the sum of the functions is the sum of their derivatives.
ddx[f(x)+g(x)]=dfdx+dgdx
Application 2
Find the derivative of y = x3 + 3x2
Solution:
dydx=ddx(x3)=ddx3x2=3x2+6x
(iii) Derivative of product of two functions is given as
ddx[fg]=fdgdx+gdfdx
(iv) Derivative of a quotient is given as
ddx[fg]=gdfdx−fdgdxg2
(v) The chain rule
Suppose f is a function of u, which in turn is a function of x. The derivative dfdx can be written as the product of two derivatives
dfdx=dfdududx
Application 3
Find the derivative of y = sin x2
Solution:
Let us assume u=x2, then y= sin u. then dydu= cos u and dudx=2x
dydx=dydududx = (cos u)(2x) = 2x Cos u
dydx= 2x cos x2

Applications of Derivative
(i) Increasing and Decreasing Function
A function f (x) is said to be increasing if f (x) increases as x increases, and decreasing if f (x) decreases as x increases.
In other words, if x1<x2⇒f(x1)<f(x2) then f(x) is increasing
if x1<x2⇒f(x1)>f(x2) then f(x) is decreasing.
As shown in the figure, when f(x) is increasing, the tangent to the curve at any point, say P, makes an acute angle with positive x-axis. The slope of the tangent is positive.
Thus, tanθ=dydx>0
As shown in the figure, when f(x) is decreasing, the tangent to the curve at any point, say P, makes an obtuse angle with positive x–axis. The slope of the tangent is negative.
Thus, tanθ=dydx<0
(ii) Maximum and Minimum Values of a Function
As shown in the figure, at the point of maximum and minimum of a function the slope of the tangent at the point is zero.
Thus, tanθ=dydx=0
Note
(i) f(x) is maximum at a point x = a, if
(a) f’(a) = 0 and
(b) f’(x) changes in sign from positive to negative when x passes through the point x = a. In other words, the second derivative of the function at x = a is negative. i.e f′′(a)<0
(ii) f (x) is minimum at a point x = a, if
(a) f’(a) = 0 and
(b) f’(x) changes in sign from negative to positive when x passes through the point x = a. In other words, the second derivative of the function at x = a is positive. i.e. f′′(a)>0
Integration
Integration is the inverse operation of differentiation. Integration of f(x) consists in finding the function I(x) whose derivative is equal to f(x).
Mathematically, f(x)=dIdx or I(x)=∫f(x)dx
In the above expression, f(x) is called the integrand; ∫ is the symbol of integration and dx indicates the variable of integration. The symbols on the right side of equation together represent a single entity. It does not mean that f(x) is multiplied by dx. The function I(x) is also known sometimes as the antiderivative of f(x).
Application 4
If the derivative function is f(x) = 0. Find the integral function I(x).
Solution:
Since a function whose derivative is zero is a constant, therefore I(x) = c, where c is any fixed number.
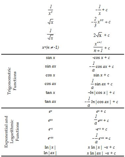
The integrals of some common functions are listed in the Table : 2 of integrals. Note that moving backward in this table (right column to left column) is equivalent to differentiating. In the same way, moving from right column to left column in the Table : 1 of derivatives is equivalent to integrating.
General Significance of Integration
As we have learnt the graphical interpretation of differentiation as finding the slope of a curve. Integration also has a simple graphical meaning. It is related to finding the area under a curve.
If a function f (x) is expressed graphically in the form f (x) vs x, the area under the curve between the limits a and b means the area bounded by the curve of f (x), the x-axis and two lines x = a and x = b.
The area under the graph of a positive function is defined to be positive. The area under (actually above) the graph of a negative function is defined to be negative. As shown in the figure(c) , positive and negative area add algebraically and may cancel.
The total area between definite limits of x is called a definite integral. The notation for the definite integral is
Area= D=∫abf(x)dx

Note
A definite integral between fixed limits is a fixed quantity, not a function. It has a specific numerical value and generally has a unit, which need not be a unit of area. Just as the idea of slope is generalized from its purely geometric meaning and acquires a unit determined by the quotient of the vertically plotted quantity and the horizontally plotted quantity, the idea of areas is also generalized and acquires a unit determined by the product of the vertically and horizontally plotted quantities

